通信人家园

 找回密码
 注册

只需一步,快速开始

短信验证,便捷登录

搜索

军衔等级:

  四级通信军士

注册:2017-8-14208
跳转到指定楼层
1#
发表于 2025-12-30 10:27:25 |只看该作者 |倒序浏览
登山者1979 6G标准与技术探索

从 5G 迈向 6G 的过程中,有一个核心问题:虽然5G核心网以及ORAN 在管理与控制层的模块化已经取得一定进展,但物理层处理架构仍然沿袭了前几代移动通信系统的设计范式。正如在 IEEE 通信学会(ComSoc)2025 年 10 月刊的 Technology News 中,MIT 教授 Muriel Médard指出:物理层问题不在于“再加什么新技术”,而是物理层体系仍然由大量历史遗留机制层层堆叠而成,包括:
  • 次优的调制方式
  • 大规模交织带来的高时延
  • 受限于少数长码、低码率的信道编码(如 LDPC)
  • MAC 和传输层中的 ARQ / HARQ 重传机制。
640?wx_fmt=png&from=appmsg#imgIndex=0
Source: MIT MurielMédard而多层设计似乎应该有利于模块创新,但现实恰恰相反。原因在于:
  • 子层数量过多
  • 技术复杂度过高
  • 很多机制来自“过时应用场景”
这使得真正的跨层协同设计几乎不可能。标准制定过程中,各组件往往被“规定死”,不同子层过于复杂且相互耦合;既是分散设计,又是整体僵化的单体方案。这种结构使得创新只能以碎片化方式进入各个组件,提高了工程与产业化成本。
▍物理层模块化的核心思想:像 GPU 一样组织通信系统
Muriel Médard 借鉴了计算系统中的成功经验:
如果我们可以通过 API 调用一个 GPU,为什么通信系统不能调用“通用通信单元”?
We can borrow principles from the successful approach of creating new interfaces and APIs to general units… akin to having a call to a GPU…
模块化设计其核心思想并非简单地拆分功能,而是通过定义清晰的“通用单元”和接口,使系统能够像调用 GPU 一样,灵活地调用不同功能模块,并在不推翻整体架构的前提下持续演进。模块化的目标不是拆碎系统,而是:
  • 每个单元职责清晰
  • 接口稳定
  • 内部算法与硬件可以持续演进
由此,Muriel Médard文章里面提出了一个由四个核心模块组成的模块化体系结构:
  • 通用介质接入单元(GMACU - General Medium Access Unit)
  • 通用编码与解码 / 感知单元(GEU / GDU - General Encoding and Decoding/Sensing Units)
  • 通用干扰管理单元(GIMU - General Interference Management Unit)
  • 通用收发单元(GTRxU - General Transmission/Reception Unit)

▍GMACU:用网络编码重构接入和重传
当前的MAC机制是“沉积式分层”的典型代表。
  • ARQ、HARQ 以及多种干扰管理机制叠加在一起,形成了复杂而低效的组合。
  • 难以适应高频通信等新技术对接入方式的不同需求。
640?wx_fmt=png&from=appmsg#imgIndex=1
Source: MIT MurielMédardGMACU 的核心: 将“抗丢包能力”从“事后重传(ARQ/HARQ)”,变成“事前通过编码消化丢包”。从而GMACU的作用将体现在:
在接入与调度层面,决定“何时、对谁、跨哪些链路、以什么冗余方式进行编码传输”,从而用编码来承担原本由 ARQ / HARQ 承担的可靠性职责。
这与 3GPP 6G MAC 研究中的方向也是高度一致:[td]
6G MAC 研究关注点GMACU 提供的视角
减少控制信令编码替代部分反馈
提升可靠性编码内生抗丢包
多连接/多接入跨链路编码
网络切片差异化编码强度可调
跨 RAT 协同非独立接入设计
这种将可靠性交由编码来承担的设计,前提是接收端具备一种不依赖具体码结构、可适配多种编码方式的通用解码能力,这正是 GEU/GDU 试图解决的问题。
▍GEU/GDU:统一 6G 的编码与解码
传统编码与解码方法长期以来以“码为中心”,并通常针对最坏情况信道进行设计。这种假设导致系统需要深度交织,增加了时延,也限制了灵活性。
640?wx_fmt=png&from=appmsg#imgIndex=2
Source: MIT MurielMédardMuriel Médard 提出的 Guessing Random Additive Noise Decoding(GRAND)不再围绕特定码结构,而是从“噪声猜测”的角度进行解码,使一个通用解码器即可支持多种码型和码率,是一种更底层的解码抽象:
解码的核心对象不是“码结构”,而是“加性噪声的可能性”。
文章中提到,基于 GRAND 的芯片已经实现并验证,在90MHz频率下实现了0.76pJ/bit的极低能耗和6.5Gbps的吞吐量,其性能优于最先进的专用软检测解码器。由于 GRAND 解码过程不依赖特定码结构,而是对噪声进行枚举与验证,因此在系统层面,它天然支持多种码型共存。因此,这一技术还可以纠正了 5G 中 LDPC 与 Polar 并存所带来的复杂性 - 将控制信道和数据信道拆分为LDPC和Polar两种完全不同的编码。这与 3GPP 在 6G 中探索的 PHY 方向形成自然映射:[td]
6G 关注方向GRAND 的对应能力
通用物理层能力(generic PHY)单一解码算法支持多码本
短包通信无需深度交织、低时延
能效优化低功耗、低能耗/bit
硬件可持续演进新码本无需新解码器
控制/数据信道统一同一解码范式适配不同信道
GRAND 并不要求 6G 立即选用某个新码,而是为“未来可能出现的多样化码本”提供了解码基础设施。这正符合”不锁死物理层实现路径“的研究取向。

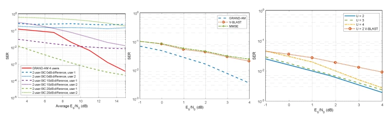
▍GIMU:把多用户干扰当作“可解码结构”
GIMU 是一种“干扰管理单元”,它可以调用 GRAND 作为底层能力
  • 传统系统往往将干扰“当噪声处理”,导致信噪比下降。
  • 而基于 GRAND 的方法,可以将非正交多址(NOMA)中的多用户信号视为扩展调制星座,通过联合解码而非逐用户处理,将干扰从“噪声”转化为可利用的信息结构。
  • 解码与感知在这里天然结合,解码过程同时成为对通信环境的重构过程。
640?wx_fmt=png&from=appmsg#imgIndex=3
实验显示,GRAND-AM在符号错误率(SER)方面相较于连续干扰消除(SIC)和V-BLAST具有明显优势。 640?wx_fmt=png&from=appmsg#imgIndex=4
Source: MIT MurielMédard
▍GTRxU:非均匀调制与能效提升
长期以来,最优调制本应是非均匀的。但是在传统系统中,非均匀调制受限于接收端对概率分布与星座结构变化的处理能力,往往导致解码复杂度过高。通过借助编码与解码能力的提升,尤其是在符号层进行的纠错机制,非均匀调制得以高效实现。 640?wx_fmt=png&from=appmsg#imgIndex=5
Source: MIT MurielMédard实验结果表明,与标准QAM相比,OM传输实现了2.4倍的比特错误率(BER)降低和4.5倍的符号错误率(SER)降低。
640?wx_fmt=png&from=appmsg#imgIndex=6
Source: MIT MurielMédard
▍结语
初看之下,Médard 教授提出的模块化方案,似乎只是对现有 5G 功能模块进行了一次 “重新命名” 或 “功能重组”。但是实际Médard 的核心主张不在于增加或删减功能,而在于 “重新抽象”,即:
  • 5G 物理层的问题不在“功能缺失”,而在功能是以沉积式、历史拼接的方式存在。模块的定义被特定的、历史沉淀下来的技术方案所 “固化”,比如PHY 解码被锁定为某一类“固定码型 + 固定译码器”的实现。
  • 这种 “高度规定化”(highly prescriptive)的设计,导致了一个看似矛盾的结果:系统由众多复杂子层构成,但在整体上却表现为一个僵化的 “整体单体”(monolithic)。比方说: 5G 的典型路径是PHY Pipeline 做完 → MAC 发现失败 → HARQ 补救 → 调度再处理。 - 这正是这种矛盾的体现。
因此,Médard 教授提出的模块化方案,并非试图“重新设计一套 6G 物理层协议”,而是希望通过重新抽象模块本身,将“目的”而非“具体技术方案”作为模块的定义基础。接口保持稳定,而模块内部的算法与实现,则可以随着编码、解码和硬件技术的发展,可以随时替换掉。从这个意义上说,这套模块化框架更像是一种面向 6G 的研究级参考架构。未来并不在于再引入多少新技术,而在于能否为未来尚未出现的技术,预留一个不被锁死的系统位置。
原文链接:https://www.comsoc.org/publications/ctn/new-coding-and-decoding-6g

举报本楼

本帖有 8 个回帖,您需要登录后才能浏览 登录 | 注册
您需要登录后才可以回帖 登录 | 注册 |

版规|手机版|C114 ( 沪ICP备12002291号-1 )|联系我们 |网站地图  

GMT+8, 2026-2-14 06:47 , Processed in 0.224440 second(s), 19 queries , Gzip On.

Copyright © 1999-2025 C114 All Rights Reserved

Discuz Licensed

回顶部